Cutaneous microcirculatory disturbances are reversible in the early post-resuscitation period after asphyxial cardiac arrest
Highlight box
Key findings
• Early microcirculatory failure after cardiac arrest (CA) is acute but reversible within two hours with standard care, highlighting the critical need for immediate monitoring and intervention.
What is known and what is new?
• Microcirculatory dysfunction occurs after CA. Restoring of normal blood macrocirculation does not guarantee adequate microcirculation. This persistent tissue hypoperfusion drives organ failure.
• Severe post-arrest microcirculatory failure is immediately present but reversible within two hours.
What is the implication, and what should change now?
• Early microcirculatory recovery may reflect true improvement or limitations of microcirculation variables assessment, requiring later assessment for accurate prognosis.
Introduction
Cardiac arrest (CA) is a critical illness resulting from severe heart disease or extreme extracardiac factors (hypoxia, environmental, toxins, etc.). Depending on the circumstances of its onset, a distinction is made between out-of-hospital and in-hospital CA. In Europe, the incidence of out-of-hospital CA averages 53 cases per 100,000 population per year (approximately 275,000 cases per year), while the survival rate to hospital discharge does not exceed 9% (1,2). According to national registries, the incidence of in-hospital CA varies widely worldwide, ranging from 1.2 to 10 cases per 1000 hospitalizations per year (3). Survival rates for in-hospital CA range from 45% to 85%, depending on the quality of medical care, etiology and other factors (4). In the event of successful resuscitation, disability remains high, mainly due to persistent neurological deficits (5,6). Acute respiratory failure is the second most common cause of CA after primary cardiac causes (sudden cardiac death) (6).
Despite the restoration of spontaneous circulation as a result of successful resuscitation, patients develop post-resuscitation syndrome, which is characterized by the development of multiple organ failure due to ischemia/reperfusion injury to organs after systemic hypoxia (7,8). The course of the post-resuscitation period is associated with post-ischemic hypoxic brain injury, post-resuscitation myocardial dysfunction, and systemic inflammatory response to ischemia/reperfusion injury (9).
Systemic ischemia followed by reperfusion causes activation of immunological and coagulation mechanisms, leading to the development of a systemic inflammatory response and microthrombosis. According to Satoshi Gando and Takeshi Wada, in experimental models of CA in laboratory animals, a large number of microthrombosis foci occurred in the microvasculature of various organs and tissues (heart, brain, lung, kidney and liver) with a simultaneous decrease in plasma fibrinogen concentration and thrombocytopenia, which were considered as a manifestation of disseminated intravascular coagulation syndrome (10). These factors lead to microcirculatory crisis, decreased tissue oxygen delivery and prolongation of ischemia (11).
The restoration of macrohemodynamics do not always leads to improvements in of the microcirculation (e.g., in shock), which represents a disorder of hemodynamic coherence (12). A number of experimental and clinical studies have shown that in critically ill patients impaired hemodynamic coherence is reflected in persistent tissue hypoperfusion, leading to the development or exacerbation of multiple organ failure (13,14). Against this background, the question to what extent peripheral microvascular alterations (of the skin and mucous membranes) reflect general microcirculatory disturbances in the critically ill patient is of particular practical importance.
There are several methods for non-invasive assessment of microcirculation, including those used clinically in patients with shock and other critical illnesses (15,16). One of the simplest and most reliable methods for assessing tissue hypoperfusion in clinical practice is to evaluate the capillary refill time. In patients with cardiogenic shock, a prolonged capillary refill time (>3 seconds) was associated with an early prediction of 90-day mortality or the need for extracorporeal circulatory support (17).
Orthogonal polarization spectral imaging and sidestream dark field imaging are currently recommended for clinical use at the bedside to visualize the sublingual microvasculature and assess total and perfused vessel density, microvascular flow index, and other parameters of diagnostic and prognostic value in sepsis, trauma, and post-resuscitation syndrome (12,18). Laser Doppler flowmetry (LDF), Laser Doppler Imaging (LDI) and Laser Speckle Contrast Imaging (LSCI) allow monitoring of perfusion of different areas of the skin, accurately characterize relative changes in local skin blood flow and, in combination with reactivity tests, provide additional information on the activity of the mechanisms regulating the microvasculature (19). Although LDI and LSCI reduce spatial variability in perfusion measurements and have good reproducibility (20), LDF is also used in experimental and clinical studies due to its relative ease of use and greater skin penetration depth (16,19,21). The combination of LDF with an occlusion test allows a non-invasive assessment of the phenomenon of post-occlusion reactive hyperemia (PORH), which reflects important functional parameters of the microcirculation, in particular the blood flow reserve and the vasodilatory reactivity of the microvasculature (15,22,23). This approach is widely used in clinical studies to identify functional microcirculatory abnormalities not apparent from baseline perfusion measurements, but assessment of PORH is rare in preclinical animal studies (21,24).
The development of ischemia/reperfusion injury in the post-resuscitation period, manifested by coagulation disorders, hemodynamic coherence disturbances and persistent tissue hypoperfusion, may therefore be detectable at early stages after restoration of spontaneous circulation using non-invasive methods of microcirculation assessment. The assessment of microcirculation offers a paradigm shift from traditional macrohemodynamic monitoring [like blood pressure (BP)] towards a more precise evaluation of end-organ perfusion, which is critical for improving outcomes after CA. The failure of oxygen delivery at the microvascular level is the fundamental mechanism behind multiple organ failure. Early markers of this failure [e.g., altered PORH response, persistent low skin perfusion (M)] could signal the impending onset of dysfunction in the kidneys, liver, and other organs before traditional biomarkers rise.
We hypothesized that parameters of cutaneous microvascular blood flow could be used to diagnose microcirculatory disorders in the early post-resuscitation period after asphyxial CA. The aim of this study was to identify markers of microcirculatory dysfunction in the early post-resuscitation period after asphyxial CA in rats. We present this article in accordance with the ARRIVE reporting checklist (available at https://cdt.amegroups.com/article/view/10.21037/cdt-2025-192/rc).
Methods
The study was conducted in the V. A. Negovsky Research Institute of General Reanimatology of Federal Research and Clinical Center of Intensive Care Medicine and Rehabilitology on adult male Wistar rats weighing 250–350 g (n=34). The study was conducted on rats with the MD status (minimally deseazed: animals were delivered from the nursery with a set of documents confirming the SPF status (FELASA pathogen list, 2014), during the study the status confirmation was not done). The animals were kept in IVC cages (AWTech, Russia, cage size: 470 mm × 312 mm × 260 mm) in groups of two animals on corn litter. The animals were given filtered tap water and fed with complete compound feed with no restrictions. The temperature in the room was maintained from +20 to +24 ℃, humidity from 30% to 70%, artificial lighting in the day/night mode—12/12 hours. The animals were randomized into two groups: group I (n=12)—sham operated animals (Sham), group II (n=22)—asphyxial CA followed by resuscitation (CA group). Food was withdrawn from the animals 6–12 h before the start of the experiment, while they continued to have free access to water. Study design: a prospective randomized controlled experimental study in laboratory animals (in vivo). Experiments were performed under a project license (No. 4/21/7 dated 29.09.2021) granted by local ethics committee of the Federal Research and Clinical Center of Intensive Care Medicine and Rehabilitology, in compliance with national or institutional guidelines for the care and use of animals (Directive 2010/63/EU).
The following exclusion criteria were used: death during the experiment before induction of CA (side effects of anesthesia, complications of surgical procedures), achievement of a humane endpoint of the study (severe injury, pain and suffering of the animal that cannot be alleviated by available means).
Anesthesia and surgical procedures
All animals received combined anesthesia: tiletamine/zolazepam (Zoletil 100, Virbac, France) 20 mg/kg + xylazine (xylanite, NITA-PHARM, Russia) 5 mg/kg intraperitoneally with additional injection of Zoletil 100 at a dose of 10 mg/kg if signs of lightening anesthesia appeared, such as spontaneous movements, or a positive response to a pinch test.
The left carotid artery and the left external jugular vein were catheterized with a PE-50 polyethylene catheter (OD 0.95 mm, ID 0.58 mm, SciCat, Russia) as previously described (25) for invasive BP measurement, arterial blood sampling, pharmaceutical management, and post-resuscitation intensive care. The arterial catheter was flushed with 0.1–0.2 mL unfractionated heparin (20 EU/mL) as needed. To ensure adequate ventilation before CA and during resuscitation, the trachea was intubated via direct laryngoscopy with a 16 G venous catheter.
Mechanical ventilation
After neuromuscular blockade by intravenous administration of rocuronium bromide 1.4 mg/kg body weight, mechanical ventilation was performed with the SAR-1000 ventilator (CWE Inc., Ardmore, USA) in CMV/VC mode. The tidal volume (Vt) was calculated according to the nomogram in the ventilator manual (approximately 0.7 mL per 100 g body weight), the oxygen fraction (FiO2) was 21%, the respiratory rate (f) was 60 min−1, and the inspiration/expiration ratio (I:E) was 1:2. If spontaneous breathing persisted, another dose of rocuronium bromide was administered.
Animal positioning and temperature control
Rats were restrained in the supine position on the heated platform of the MouseMonitor S monitor (INDUS Instruments, USA) (Figure 1). A rectal thermometer was attached to measure core body temperature with target values of 36.0–37.0 ℃. To prevent heat loss, the animals were additionally warmed with insulating material. Measurements were preceded by a 15–20 min stabilization period.
BP measurement
Arterial catheter was connected via an adapter and infusion line to the Deltran DPT-100 pressure transducer (Utah Medical Products, USA). The analog pressure signal recorded by the BP-100 device (CWE Inc., USA) was transmitted to the PowerLab 16/35 device (ADInstruments, Australia) connected to a personal computer. Analysis of the digitized BP signal was performed using LabChart Pro 8 software (ADInstruments, Australia). Mean arterial pressure (MAP) was calculated from the BP curve data for a given measurement period (5 minutes).
Electrocardiogram (ECG) registration
An analog ECG signal was recorded from the surface electrodes of the MouseMonitor S platform (INDUS Instruments, Houston, USA) and transmitted to the PowerLab16/35 device (AD Instruments, Sydney, Australia) connected to a personal computer. The digitized ECG signal in three standard leads (I, II, III) was stored on the hard disk of the computer and analyzed using LabChart Pro 8 software. The ECG data were used to calculate the average heart rate (HR) and to evaluate the duration of PR, QRS, QTc intervals, T-wave amplitude, and ST-segment amplitude for a given measurement period (5 minutes).
Arterial blood gases and acid-base status (ABS) analysis
Arterial blood samples (0.2 mL) were taken from arterial catheter into a 1 mL syringe. The walls of the syringe were pre-wetted with a solution of unfractionated heparin 5,000 U/mL (not more than 50 µL). Gases and acid-base status (ABS) measurements (pH, pCO2, pO2, BE, HCO3, SaO2, lactate level) were performed using CG4+ cartridges containing reagents for the iSTAT 1 analyzer (Abbott Point of Care Inc., Princeton, USA).
Local cutaneous blood flow measurement and PORH assessment
In this study, LDF was used to assess the perfusion and microcirculation status of animal skin. The method is based on non-invasive “probing” of tissue with a monochromatic laser beam (usually in the red or infrared range) followed by analysis of the backscattered light. The wavelength of the backscattered light changes in proportion to the speed of red blood cells in the microvasculature (Doppler effect) (15). The received optical signal is digitized and displayed graphically as a perfusion index.
The skin surface of the right hind limb of a rat was wiped with a moist gauze cloth. The fiber-optic probe of the LAZMA MC-3 device (“LAZMA”, Russia) was placed vertically on the central part of the plantar surface of the hind paw without excessive pressure. The probe was fixed with a medical plaster wrapped around the tip of the probe and the paw of the animal. The LDF signal was recorded for 5 minutes at each time point. The mean M was measured in arbitrary perfusion units (PU) using LDF 3.2.0.475 software (“LAZMA”, Russia). In addition, the standard deviation of the amplitude of blood flow fluctuations (σ, PU) and the perfusion coefficient of variation (Kv=σ/M, %) were calculated using the same software.
To perform the occlusion test, a pneumatic cuff for non-invasive measurement of BP in rodents “Systola” (Neurobotics, Russia) was placed at the level of the tibia and gastrocnemius muscle of the right hind paw of the rat and connected to an aneroid manometer. After registering the baseline LDF, the pressure in the cuff was pumped up with a rubber bag and maintained at a level of 200–220 mmHg for 3 minutes. After rapid deflation of the cuff, the LDF was recorded for an additional 6 minutes.
The following PORH variables were calculated:
- Minimum values of the LDF signal (“biological zero”) during occlusion (Moccl, PU).
- Peak hyperemia, i.e., the maximum perfusion value after cuff release (Mmax, PU).
- Cutaneous blood flow reserve (Mmax/M, %).
- Peak hyperemia as a function of “biological zero” (Mmax − Moccl, PU).
- Cutaneous vascular conductance (CVC) for resting perfusion value (CVC = M/MAP) and for peak hyperemia (CVCmax =Mmax/MAPmax).
- Cutaneous microvascular reserve expressed via CVC (CVCmax/CVC).
- Time from cuff release to peak hyperemia (Tmax, s).
Experimental model of asphyxial CA and resuscitation
After baseline measurements (Figure 1), asphyxial CA was modeled according to a previously described method (26) with author’s modifications (27). Briefly, an additional dose of muscle relaxant was administered to the anesthetized animal (rocuronium bromide 1.4 mg/kg), after which the ventilator circuit was switched off. ECG, BP and LDF continued to be monitored to determine the time of CA. When the MAP dropped below 20 mmHg in combination with severe bradycardia and a decrease in M to the level of LDF “biological zero” (3–4 PU), it was assumed that effective tissue perfusion had ceased and the onset of CA was determined (usually 3–4 minutes after induction of asphyxia). Resuscitation was initiated 2 minutes after CA (Figure 2). Mechanical ventilation was resumed at 100% FiO2. Chest compressions were performed in the anteroposterior direction at a rate of 200 min−1. Adrenaline 0.005 mg/kg was administered intravenously.
In case of ineffective resuscitation within 10 minutes, resuscitation measures were ceased. After return of a spontaneous circulation (ROSC) (increase in MAP above 50 mmHg and M above LDF’s “biological zero”) (Figure 2), mechanical ventilation, monitoring of ECG and BP, infusion of saline at a rate of 10 ml/kg/h were continued. Arterial blood gases and ABS were assessed 5 minutes after ROSC, and mechanical ventilation parameters were corrected based on the results. In case of severe metabolic acidosis (pH <7.2, BE <−10 mmol/L), infusion of 4% NaHCO3 solution was implemented at a dose of 1 mmol/kg. After 2 hours of post-resuscitation care, spontaneous breathing test was performed: the breathing circuit was disconnected from the endotracheal tube and spontaneous inspiration attempts were recorded for 2 minutes.
Study time points
Studied parameters were recorded at baseline after stabilization period (time point 1), at 5–10 minutes (time point 2) and 115–120 minutes (time point 3) after ROSC (Figure 1). The “Sham” group animals underwent the same measurements and manipulations as in the “CA” group, with the exception of asphyxial CA induction and implementation of resuscitation measures (chest compression, adrenaline administration, mechanical ventilation with 100% FiO2).
Euthanasia
After completing the measurements, animals were euthanized by intravenous injection of 1 mL of lidocaine 2% solution under general anesthesia, monitoring the onset of asystole.
Statistical analysis
Sample size was calculated using the StatMate 2.0 program (GraphPad Software, USA) based on a previously performed series of experiments investigating microcirculation in rat skin. The calculation was based on the values of LDF-perfusion (M) variability in rat skin (SD was 3 PU), the estimated mortality in the CA group of about 30%, and the power of the method of 0.9. After adjusting for expected mortality, animals were randomized into two unequal groups (n=12 and n=22) using random number generation in an MS Excel column. The data were statistically processed using the software package Statistica 13.0 (StatSoft, USA) and Prism 8 (GraphPad Software, USA). Since most of the variables under study had a distribution other than normal (based on the Shapiro-Wilk test), the Mann-Whitney U test was used to assess the significance of differences between groups. To evaluate the differences in the values of variables of a group at two different time points, the Wilcoxon criterion was used. Two-way ANOVA [mixed-effects model with the Geisser-Greenhouse correction (Sidak’s multiple comparisons test)] was used to evaluate the differences in the values of variables of a group at three different time points. To determine the strength and direction of the correlations between the studied parameters in both groups, the Spearman rank correlation method was used.
The results are presented in terms of median and interquartile range: Me (25%, 75%). Differences were considered statistically significant at P<0.05.
Results
According to the prespecified exclusion criteria, one animal in the Sham group and four animals in the “CA” group were excluded from the study. There were no deaths among animals of the Sham group; mortality in the “CA” group was 3 out of 18 animals (16.6%) over a 2-hour observation period after ROSC. Mortality was observed between 10 and 120 minutes after ROSC amid progressive instability of hemodynamics and persistent severe metabolic acidosis. Therefore, the sample sizes for analysis were: n=11 for the Sham group at all time points; n=18 for the CA group at time points 1 and 2; and n=15 for the CA group at time point 3. The total time of asphyxia and CA in this group was 330 s (300, 375 s).
At baseline, there were no significant differences between the groups in any of the variables studied. At the 10th minute of the post-resuscitation period, HR in the “CA” group was higher in comparison to the “Sham” group [HR min−1 286.2 (272.0, 305.5) vs. 218.5 (204.7, 235.5)] respectively (P<0.001) (Figure 3A), however, no statistically significant difference was detected in the MAP values (Figure 3B).
At the same time, cutaneous blood flow (M) and vascular conductance (CVC) were decreased in the “CA” group in comparison to the “Sham” group [M 10.1 (7.0, 12.5) vs. 14.7 (12.1, 16.5) PU, P=0.001; CVC 0.12 (0.11, 0.21) vs. 0.21 (0.19, 0.24) PU, P=0.005, respectively] (Figure 4A,4B).
The standard deviation of the amplitude of blood flow fluctuations (Sigma) and perfusion coefficient of variation (Kv) were higher in the “CA” group than in the “Sham” group at the 10th minute of the post-resuscitation period [Sigma 0.66 (0.59, 0.98) vs. 0.54 (0.46, 0.68) PU, P=0.047; Kv 8.4 (6.57, 11.47) vs. 3.58 (3.2, 4.23)%, P<0.001, respectively] (Figure 5A,5B).
In addition, the ECG analysis revealed disturbances in the bioelectrical activity of the heart. The following changes in ECG parameters were observed in the “CA” group compared to the “Sham” group: an increase in the QTc interval (QTc, s), an increase in the amplitude of the T-wave (T, mV) and an increase in the amplitude of the ST-segment (ST, mV) (Table 1). Decompensated mixed acidosis (a combination of hypercapnia, hyperlactatemia, a decrease in bicarbonate (HCO3−) and BE) and a significant decrease in oxygenation index (p/F) on the background of hyperoxemia were observed in the “CA” group at time point 2 (Table 2).
Table 1
| Variables | Baseline | 10 min after ROSC | 120 min after ROSC | ||||||||
|---|---|---|---|---|---|---|---|---|---|---|---|
| Sham group (n=11) | CA group (n=18) | P | Sham group (n=11) | CA group (n=18) | P | Sham group (n=11) | CA group (n=15) | P | |||
| PR, c | 0.046 (0.043, 0.047) | 0.044 (0.042, 0.048) | 0.56 | 0.047 (0.043, 0.049) | 0.043 (0.042, 0.045) | 0.12 | 0.048 (0.045, 0.05) | 0.045 (0.042, 0.049) | 0.18 | ||
| QRS, c | 0.013 (0.012, 0.014) | 0.014 (0.013, 0.017) | 0.17 | 0.013 (0.012, 0.014) | 0.013# (0.012, 0.015) | 0.95 | 0.014 (0.012, 0.015) | 0.013 (0.012, 0.017) | 0.67 | ||
| QTc, c | 0.113 (0.103, 0.128) | 0.119 (0.11, 0.124) | 0.48 | 0.115 (0.01, 0.124) | 0.154*# (0.139, 0.172) | 0.006 | 0.108 (0.097, 0.127) | 0.121 (0.11, 0.144) | 0.06 | ||
| T, MV | 0.16 (0.122, 0.211) | 0.163 (0.132, 0.198) | 0.75 | 0.172 (0.163, 0.191) | 0.258*# (0.222, 0.281) | <0.001 | 0.135# (0.089, 0.144) | 0.163 (0.121, 0.191) | 0.29 | ||
| ST, MV | 0.155 (0.132, 0.176) | 0.131 (0.108, 0.159) | 0.46 | 0.15 (0.117, 0.169) | 0.197# (0.147, 0.255) | 0.06 | 0.118# (0.061, 0.127) | 0.122 (0.089, 0.176) | 0.34 | ||
Data are presented as median (interquartile range). Exact P values are given for the “CA” group vs. the “Sham” group (the Mann-Whitney test). *, P<0.05 vs. baseline between groups (the Mann-Whitney U test). #, P<0.05 vs. baseline within group (the Wilcoxon test with Bonferroni correction). CA, cardiac arrest; PR, PR interval; QTc, corrected QT interval; ROSC, return of spontaneous circulation; ST, amplitude of the ST-segment; T, amplitude of the T-wave.
Table 2
| Variables | Baseline | 10 min after ROSC | 120 min after ROSC | ||||||||
|---|---|---|---|---|---|---|---|---|---|---|---|
| Sham group (n=11) | CA group (n=18) | P | Sham group (n=11) | CA group (n=18) | P | Sham group (n=11) | CA group (n=15) | P | |||
| pH | 7.41 (7.38, 7.43) | 7.43 (7.40, 7.50) | 0.65 | 7.42 (7.40, 7.43) | 7.20# (7.13, 7.23) | <0.001 | 7.44 (7.40, 7.46) | 7.47 (7.33, 7.53) | 0.49 | ||
| PaCO2, mmHg | 37.8 (34.1, 41,3) | 38.4 (34.7, 41.9) | 0.83 | 37.8 (32.7, 42.4) | 51.3# (41.2, 60.9) | <0.001 | 34.7 (31.5, 39.7) | 33.9# (30.3, 52.9) | 0.89 | ||
| PaO2, mmHg | 70 (59, 86) | 69 (63, 79) | >0.99 | 78 (64, 91) | 120# (83, 139) | 0.004 | 82 (75, 91) | 291# (194, 376) | <0.001 | ||
| BE, mmol/L | 0 (−1, 1) | 1 (−1,5, 3) | 0.55 | −0.5 (−2,7, 1,7) | −9# (−11, −8) | <0.001 | −1.0 (−2.0, 0.5) | −2.0 (−4.0, 3.0) | 0.86 | ||
| Lactate, mmol/L | 1.16 (1.02, 1.53) | 1.16 (0.88, 1.65) | 0.88 | 1.13 (1.52, 5.42) | 5.58# (4.65, 6.90) | <0.001 | 1.21 (0.95, 1.94) | 1.47 (1.16, 2.57) | 0.33 | ||
| SaO2, % | 93 (90, 97) | 94 (92, 96) | 0.87 | 95 (93, 97) | 98 (93, 99) | 0.11 | 96 (95, 97) | 100# (99, 100) | 0.001 | ||
| HCO3−, mmol/L | 24.2 (23.4, 25.4) | 25.4 (23.1, 26.9) | 0.58 | 24.2 (17.1, 25.6) | 18.4# (17.2, 20.8) | <0.001 | 23.3 (20.3, 24.6) | 24.3# (21.0, 25.8) | 0.80 | ||
| p/F | 333 (297, 404) | 337 (314, 385) | 0.81 | 337 (285, 390) | 121# (93, 136) | <0.001 | 390 (358, 425) | 295# (202, 359) | 0.046 | ||
Data are presented as median (interquartile range). Exact P values are given for the “CA” group vs. the “Sham” group (the Mann-Whitney test). #, P<0.05 vs. baseline within group (the Wilcoxon test with Bonferroni correction). BE, base excess/deficiency; CA, cardiac arrest; HCO3−, bicarbonate concentration; p/F, oxygenation index; PaCO2, partial pressure of carbon dioxide in arterial blood; PaO2, partial pressure of oxygen in arterial blood; ROSC, return of spontaneous circulation; SaO2, arterial blood saturation.
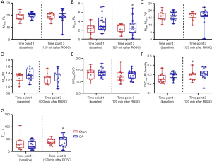
At the 120th minute of the post-resuscitation period, the studied groups did not differ both in the parameters of systemic hemodynamics (HR and MAP) (Figure 3), ECG (Table 1) and basic microcirculation parameters (M, CVC, Sigma and Kv) (Figures 4,5). At the 120th minute of the post-resuscitation period, the “CA” and “Sham” groups also did not differ (P>0.05) in the values of PORH variables (Moccl, Mmax, Mmax/M, CVCmax, Tmax) in the skin of the rat hind limb (Figure 6). However, in the “CA” group the values of some PORH variables at time point 3 (120 minute after ROSC) differed from the values at time point 1 (baseline). Thus, Moccl was slightly lower at time point 3 than at time point 1 [2.45 (1.45, 3.51) vs. 2.85 (2.13, 4.83), respectively, P=0.01] (Figure 6B) and Tmax was increased in comparison with time point 1 [50.4 (22.6, 59.3) vs. 18.8 (12.5, 41.0), respectively, P=0.02] (Figure 6F). Other PORH variables (Mmax, Mmax/M, CVCmax, CVCmax/CVC) 120 min after ROSC did not change compared to baseline values in both groups of animals (Figure 6A,6C-6E).
At the 120th minute of the post-resuscitation period, there also was no difference in acid-base state variables between the groups (Table 2). Acidosis was compensated in the “CA” group. In arterial blood gases paO2 was increased in the “CA” group on the background of FiO2 100%, but the oxygenation index (p/F) remained reduced compared to the “Sham” group (Table 2). Spontaneous breaths after cessation of ventilatory support were recorded in 12 of the 15 survived animals in the “CA” group 120 minutes after ROSC, but deep depression of consciousness remained (the absence of spontaneous movements and response to pinch test).
In this study, the Spearman rank correlation method was applied to assess the strength and direction of associations between the investigated parameters at the third time point (120 minutes after the restoration of spontaneous circulation). In the “CA” group, moderate negative correlations were observed between mean M and pH (r=−0.5987; P=0.02), the time to reach peak blood flow after occlusion release (Tmax) and serum lactate levels (Lac) (r=−0.6593; P=0.01), as well as between CVC and pH (r=−0.5933; P=0.02). In addition, moderate positive correlations were identified between the coefficient of variation of blood flow (Kv) and HR (r=0.576; P=0.02), peak hyperemia following occlusion release (Mmax) and arterial BP (r=0.7142; P=0.004), as well as between CVC at peak hyperemia (CVCmax) and arterial oxygen saturation (SaO2) (r=0.5598; P=0.04).
Discussion
In this study by modeling asphyxial CA in rats, we found that microcirculatory and metabolic disturbances detected in survived animals in the first minutes after ROSC were largely reversible after two hours of intensive care. In the “CA” group BP restored to subnormal or normal values with higher HR values than in the “Sham” group at the 10th minute of the post-resuscitation period. However, the changes in the ECG parameters indicated a disturbance of the repolarization processes as well as myocardial damage in the context of ischemia/reperfusion processes. These hemodynamic phenomena can be explained by a decrease of stroke volume with a compensatory increase of HR and total peripheral vascular resistance as part of post-resuscitation myocardial dysfunction. Post CA myocardial dysfunction, according to various sources, may develop in 33–75% of post-resuscitation syndrome cases (28,29). It remains the leading cause of early mortality (24–48 hours) after ROSC. However, it usually does not require specific therapy and resolves within 72 hours. According to the literature, post-resuscitation myocardial dysfunction is manifested by a significant decrease in cardiac output and global left ventricular systolic function, which can be detected by echocardiography (30). In this regard, our results confirm the data, because at 10th minute after ROSC MAP was maintained at a relatively normal level in the “CA” group animals due to a decrease in CVC and peripheral perfusion (M). In addition, the standard deviation of the amplitude of blood flow fluctuations (Sigma) and perfusion coefficient of variation (Kv) were high in the “CA” group at 10th minute of the post-resuscitation period. These LDF variables characterize adaptive changes in M (for example, a response to changes in ambient temperature or stress), however, under pathological conditions, their significant increase may be a marker of hemodynamic instability (31).
The diagnostic and prognostic value of microcirculatory disturbances in critically ill patients, including post-resuscitation syndrome, remains a major scientific and clinical problem. The duration of microcirculatory disturbances directly affects the development and severity of multiple organ failure. Omar et al. suggested that microcirculatory status is directly related to the severity of outcomes in the post-resuscitation period. Thus, a significant decrease in microcirculatory parameters was observed in 30 CA survivors compared to the control group (non-CA patients) during assessment of sublingual microcirculation. At the same time, the data were similar to those of patients with sepsis (32). In another animal study, Yin et al. compared a sublingual and conjunctival microcirculation in the post-resuscitation period (33). Microcirculatory disturbances in these areas correlated with the severity of post-resuscitation syndrome and, in addition, there was a reduction in the risk of adverse outcomes with improvement in microcirculatory parameters in the first 24 hours after resuscitation. Zhao et al. demonstrated a more reliable correlation between microcirculatory disturbances in the conjunctiva and cerebral cortex (34).
Microcirculatory disturbances detected in post-resuscitation period may be caused by a combination of pathophysiological processes, developed as part of the ischemia/reperfusion syndrome: immune system activation, release of pro-inflammatory factors, which leads to systemic damage of endothelium, as well as activation of the coagulation cascade with the development of coagulopathies (35,36). In addition, in our study, the impairment of peripheral blood flow in rats 10 minutes after ROSC may be a consequence of the residual effect of adrenaline, which caused an increase in BP up to 200 mmHg in the first minutes after ROSC with a gradual decrease thereafter.
The decompensated mixed acidosis observed in the animals of the “CA” group 10 minutes after ROSC developed due to impaired ventilatory function of the lungs and systemic hypoxia. The pathogenetic effect of decompensated acidosis is the development of total vasoplegia with persistent peripheral hypoperfusion and exacerbation of organ dysfunction observed in critical illness such as hemorrhagic and septic shock (37). In addition, pronounced hyperoxemia was observed in the “CA” group at both 10 and 120 minutes after ROSC, caused by ventilating the animals at 100% oxygen fraction. Although ventilation with high oxygen fractions is used during resuscitation to compensate for tissue hypoxia caused by ischemia (2), it should be noted that prolonged hyperoxemia causes direct tissue damage through the production of excessive amounts of reactive oxygen species, which promotes inflammation in the lungs. The duration of hyperoxemia directly correlates with mortality in critical illness, particularly in post-resuscitation syndrome (38). The use of 100% oxygen ventilation for 2 hours after ROSC is a limitation of the study. However, there is evidence, received by Li et al. in experimental animal study that after asphyxial CA there is significantly higher survival rate in animal groups where combination of hyperoxemia and hypothermia was used (39). 120 minutes after ROSC, the resuscitated animals did not differ from the control group in parameters of systemic hemodynamics and microcirculation in the skin. Decompensated mixed acidosis was also largely reversible in the resuscitated animals. The above data indicate the effectiveness of intensive care in the early post-resuscitation period after experimental asphyxial CA in rats.
The use of LDF in combination with an occlusion test is one of the features of this experiment. This research approach is rarely used to study microcirculatory pathology in critical illness. For example, Souza-Silva et al. used an occlusion test on the hind limbs of rats with different occlusion times and found a dependence of the amplitude of PORH in skeletal muscle on the duration of occlusion (5 s–5 min) (24). In another experimental study by Yuan et al. in Wistar-Kyoto rats and spontaneously hypertensive rats, the influence of animal age and hypertension on the severity of PORH alterations was found (21). The correlation analysis enabled the conclusion that the LDF (laser Doppler flowmetry) technique combined with functional tests can be used for dynamic assessment of the relationship between microcirculatory disturbances in peripheral tissues and central hemodynamic parameters, as well as for confirming the regression of identified abnormalities during appropriate supportive therapy. In particular, the presence of moderate negative correlations between microcirculatory parameters (M), CVC, and pH, along with a moderate positive correlation between the time to reach maximum blood flow (Tmax) and serum lactate levels indicates the restoration of vascular tone and reactivity during the correction of acidosis, which commonly develops in the early post-resuscitation period. The key physiological implication is that microcirculatory assessment provides a crucial window into true tissue perfusion that macrohemodynamic parameters completely miss. The apparent stabilization of blood pressure at 10 minutes post-ROSC might be falsely reassured, while a microcirculation test would reveal the ongoing circulatory crisis at the tissue level.
We have previously described changes in PORH parameters in rat hind limb skin during hemorrhagic shock. It was shown that in the early post-hemorrhagic period, skin blood flow and PORH amplitude decreased, but CVC index increased. Thus, vascular dysfunction in hemorrhagic shock was manifested by a decreased cutaneous vasoconstrictor response to blood loss, which reduced the body’s compensatory ability to maintain systemic hemodynamics (40).
Our study has a number of limitations:
- The assessment of PORH parameters only during 120 minutes after the ROSC. Although in other research on similar topics, the variables of microcirculation in the cerebral cortex and conjunctiva were reduced after 2 to 3 hours of observation (34), we did not find any significant disturbances of cutaneous microcirculation after 2 hours of the early post-resuscitation period. This may be due to the greater tolerance of cutaneous microvessels to ischemia-reperfusion compared to internal organs. It should be assumed that the PORH parameters may have diagnostic or prognostic value when evaluated at distant time intervals of the post-resuscitation period.
- Only male rats were used in the experiment. This was mainly due to the traditional academic approach to reduce the variability of the analyzed parameters, although this circumstance may reduce external validity and lead to bias.
Conclusions
Microcirculatory disturbances in the first minutes after ROSC in asphyxial CA are manifested by a decrease in M and vascular conductance, an increase in the amplitude of skin blood flow fluctuations, and an increase in serum lactate with decompensated mixed acidosis. These pathological alterations largely reversed 2 hours after resuscitation with supportive intensive care. The use of LDF with an occlusion test did not reveal specific changes in skin PORH variables at this time. However, the restoration of microcirculation described in this study could reflect either a true recovery of vascular function or a low sensitivity of the occlusion test in the early time intervals of the post-resuscitation period. The prognostic and diagnostic value of the PORH parameters can be revealed by it’s assessment in more distant stages of the post-resuscitation phase.
Perspectives
Studying the dynamics of microcirculatory disturbanses in a longer period after resuscitation, as well as in a model of longer-term CA (more than 2 minutes, not counting the time of previous asphyxia), are promising areas for further research. Extending the experimental model by increasing the duration of hypoxia and assessing the microcirculation further after resuscitation will allow us to better understand the pathophysiology of microcirculatory disturbances in asphyxial CA. The use of LDF in combination with an occlusion test is an effective method for non-invasive assessment of microcirculatory disturbances in various pathologic conditions.
Acknowledgments
None.
Footnote
Reporting Checklist: The authors have completed the ARRIVE reporting checklist. Available at https://cdt.amegroups.com/article/view/10.21037/cdt-2025-192/rc
Data Sharing Statement: Available at https://cdt.amegroups.com/article/view/10.21037/cdt-2025-192/dss
Peer Review File: Available at https://cdt.amegroups.com/article/view/10.21037/cdt-2025-192/prf
Funding: This research was funded by
Conflicts of Interest: All authors have completed the ICMJE uniform disclosure form (available at https://cdt.amegroups.com/article/view/10.21037/cdt-2025-192/coif). All authors report financial support from the Ministry of Science and Higher Education of the Russian Federation and hold a relevant patent. The authors have no other conflicts of interest to declare.
Ethical Statement: The authors are accountable for all aspects of the work in ensuring that questions related to the accuracy or integrity of any part of the work are appropriately investigated and resolved. Experiments were performed under a project license (No. 4/21/7 dated 29.09.2021) granted by local ethics committee of the Federal Research and Clinical Center of Intensive Care Medicine and Rehabilitology, in compliance with national or institutional guidelines for the care and use of animals (Directive 2010/63/EU).
Open Access Statement: This is an Open Access article distributed in accordance with the Creative Commons Attribution-NonCommercial-NoDerivs 4.0 International License (CC BY-NC-ND 4.0), which permits the non-commercial replication and distribution of the article with the strict proviso that no changes or edits are made and the original work is properly cited (including links to both the formal publication through the relevant DOI and the license). See: https://creativecommons.org/licenses/by-nc-nd/4.0/.
References
- Myat A, Song KJ, Rea T. Out-of-hospital cardiac arrest: current concepts. Lancet 2018;391:970-9. [Crossref] [PubMed]
- Nolan JP, Sandroni C, Böttiger BW, et al. European Resuscitation Council and European Society of Intensive Care Medicine guidelines 2021: post-resuscitation care. Intensive Care Med 2021;47:369-421. [Crossref] [PubMed]
- Penketh J, Nolan JP. In-hospital cardiac arrest: the state of the art. Crit Care 2022;26:376. [Crossref] [PubMed]
- Patel KK, Spertus JA, Khariton Y, et al. Association Between Prompt Defibrillation and Epinephrine Treatment With Long-Term Survival After In-Hospital Cardiac Arrest. Circulation 2018;137:2041-51. [Crossref] [PubMed]
- Wong MK, Morrison LJ, Qiu F, et al. Trends in short- and long-term survival among out-of-hospital cardiac arrest patients alive at hospital arrival. Circulation 2014;130:1883-90. [Crossref] [PubMed]
- Nikolovski SS, Bozic NB, Fišer Z, et al. Dispatcher-Assisted Cardiopulmonary Resuscitation — Influence on Return of Spontaneous Circulation and Short-Term Survival. General Reanimatology 2021;17:52-64.
- Negovsky VA. Postresuscitation disease. Crit Care Med 1988;16:942-6. [Crossref] [PubMed]
- Kang Y. Management of post-cardiac arrest syndrome. Acute Crit Care 2019;34:173-8. [Crossref] [PubMed]
- Binks A, Nolan JP. Post-cardiac arrest syndrome. Minerva Anestesiol 2010;76:362-8.
- Gando S, Wada T. Disseminated intravascular coagulation in cardiac arrest and resuscitation. J Thromb Haemost 2019;17:1205-16. [Crossref] [PubMed]
- Ward KR. The post-cardiac arrest microcirculation: more than meets the eye? Resuscitation 2013;84:1645-7. [Crossref] [PubMed]
- Krupičková P, Mormanová Z, Bouček T, et al. Microvascular perfusion in cardiac arrest: a review of microcirculatory imaging studies. Perfusion 2018;33:8-15. [Crossref] [PubMed]
- Libert N, Harrois A, Duranteau J. Haemodynamic coherence in haemorrhagic shock. Best Pract Res Clin Anaesthesiol 2016;30:429-35. [Crossref] [PubMed]
- Arnemann P, Seidel L, Ertmer C. Haemodynamic coherence - The relevance of fluid therapy. Best Pract Res Clin Anaesthesiol 2016;30:419-27. [Crossref] [PubMed]
- Roustit M, Cracowski JL. Non-invasive assessment of skin microvascular function in humans: an insight into methods. Microcirculation 2012;19:47-64. [Crossref] [PubMed]
- Wårdell K, Richter J, Zsigmond P. Cerebral Microcirculation: Progress and Outlook of Laser Doppler Flowmetry in Neurosurgery and Neurointensive Care. Microcirculation 2024;31:e12884. [Crossref] [PubMed]
- Merdji H, Curtiaud A, Aheto A, et al. Performance of Early Capillary Refill Time Measurement on Outcomes in Cardiogenic Shock: An Observational, Prospective Multicentric Study. Am J Respir Crit Care Med 2022;206:1230-8. [Crossref] [PubMed]
- Duranteau J, De Backer D, Donadello K, et al. The future of intensive care: the study of the microcirculation will help to guide our therapies. Crit Care 2023;27:190. [Crossref] [PubMed]
- Cracowski JL, Roustit M. Current Methods to Assess Human Cutaneous Blood Flow: An Updated Focus on Laser-Based-Techniques. Microcirculation 2016;23:337-44. [Crossref] [PubMed]
- Guven G, Dijkstra A, Kuijper TM, et al. Comparison of laser speckle contrast imaging with laser Doppler perfusion imaging for tissue perfusion measurement. Microcirculation 2023;30:e12795. [Crossref] [PubMed]
- Yuan X, Wu Q, Shang F, et al. A comparison of the cutaneous microvascular properties of the Spontaneously Hypertensive and the Wistar-Kyoto rats by Spectral analysis of Laser Doppler. Clin Exp Hypertens 2019;41:342-52. [Crossref] [PubMed]
- Keymel S, Sichwardt J, Balzer J, et al. Characterization of the non-invasive assessment of the cutaneous microcirculation by laser Doppler perfusion scanner. Microcirculation 2010;17:358-66. [Crossref] [PubMed]
- Tran BD, Chiu A, Tran C, et al. Exercise and Repeated Testing Improves Accuracy of Laser Doppler Assessment of Microvascular Function Following Shortened (1-minute) Blood Flow Occlusion. Microcirculation 2016;23:293-300. [Crossref] [PubMed]
- Souza-Silva E, Ascenso R, Tonussi CR, et al. Detection of blood flow perfusion and post - occlusive reactive hyperemia in the skeletal muscle of rats. Life Sci. 2021;278:119571. [Crossref] [PubMed]
- Lapin KN, Ryzhkov IA, Maltseva VA, et al. Vascular catheterization in small laboratory animals in biomedical research: technological aspects of the method (review article). Bulletin of Siberian Medicine 2021;20:168-81.
- Wang-Fischer Y. Manual of stroke models in rat. Boca Raton: CRC Press 2009; pp 332.
- Dubensky AY, Ryzhkov IA, Lapin KN, et al. Asphyxial Circulatory Arrest with a Complex of Resuscitation Measures in an Experimental Model. General Reanimatology 2024;20:55-64.
- Michels G, Pfister R. Postresuscitation myocardial dysfunction or a variant of takotsubo cardiomyopathy? Resuscitation 2018;128:e3. [Crossref] [PubMed]
- Li J, Qi Y, Wang J, et al. Trimetazidine Alleviates Postresuscitation Myocardial Dysfunction and Improves 96-Hour Survival in a Ventricular Fibrillation Rat Model. J Am Heart Assoc 2022;11:e023378. [Crossref] [PubMed]
- Cha KC, Kim HI, Kim OH, et al. Echocardiographic patterns of postresuscitation myocardial dysfunction. Resuscitation 2018;124:90-5. [Crossref] [PubMed]
- Babkina AS, Ryzhkov IA, Antonova VV, et al. Morphological and Functional Alterations of the Cardiovascular System during Acute Clozapine Poisoning (Experimental Study). General Reanimatology 2019;15:67-75.
- Omar YG, Massey M, Andersen LW, et al. Sublingual microcirculation is impaired in post-cardiac arrest patients. Resuscitation 2013;84:1717-22. [Crossref] [PubMed]
- Yin L, Yang Z, Yu H, et al. Changes in sublingual microcirculation is closely related with that of bulbar conjunctival microcirculation in a rat model of cardiac arrest. Shock 2016;45:428-33. [Crossref] [PubMed]
- Zhao S, Yang Z, Sun P, et al. Conjunctival microcirculation is associated with cerebral cortex microcirculation in post-resuscitation mild hypothermia: A rat model. Microcirculation 2020;27:e12604. [Crossref] [PubMed]
- Markova TG, Bragina NV, Gorbachev VI. Prediction of neurological outcome in patients with post-resuscitation disease. Bulletin of Anesthesiology and Resuscitation 2021;18:72-8.
- Mentzelopoulos SD, Myrianthefs P, Zakynthinos SG. Postcardiac arrest ischemia/reperfusion pathophysiology and functional outcome: Can intra-aortic balloon counterpulsation confer any overall or patient-specific benefit? Resuscitation 2019;143:214-6. [Crossref] [PubMed]
- Moroz VV, Ryzhkov IA. Acute blood loss: regional blood flow and microcirculation (review, part I). General Reanimatology 2016;12:66-89.
- Dolgikh VT, Govorova NV, Orlov YP, et al. Pathophysiological aspects of hyperoxia in the practice of an anesthesiologist and resuscitator (mini-review). General Reanimatology 2017;13:83-93.
- Li J, Shen Y, Wang J, et al. Combination of hyperoxygenation and targeted temperature management improves functional outcomes of post cardiac arrest syndrome irrespective of causes of arrest in rats. Shock 2024;61:934-41. [Crossref] [PubMed]
- Dubensky A, Ryzhkov I, Tsokolaeva Z, et al. Post-occlusive reactive hyperemia variables can be used to diagnose vascular dysfunction in hemorrhagic shock. Microvasc Res 2024;152:104647. [Crossref] [PubMed]

