Age-related progression of myocardial dysfunction in patients with Duchenne muscular dystrophy assessed by cardiac magnetic resonance tissue tracking: a case-control study
Highlight box
Key findings
• Children aged 3–6 years with Duchenne muscular dystrophy (DMD) had normal cardiac function and myocardial strain. Meanwhile, those aged 7–10 years exhibited marked reductions in left ventricular ejection fraction (LVEF) and in global and regional myocardial strain. In patients aged 11–14 years, the range of regional strain abnormality was even more severe. Even patients with DMD and normal LVEF or negative late gadolinium enhancement (LGE) exhibited subclinical myocardial strain decline.
What is known and what is new?
• Cardiovascular complications are the leading cause of death among individuals with DMD; cardiac dysfunction is progressive, and traditional assessment indicators have low sensitivity.
• Cardiac dysfunction in DMD manifests at around the age of 7–10 years. Cardiac magnetic resonance (CMR) tissue tracking allows for the identification of subclinical injury and clarifies the spatial progression pattern of myocardial injury, demonstrating higher sensitivity than LVEF and LGE.
What is the implication, and what should change now?
• The findings lay a foundation for the early monitoring and targeted treatment of DMD cardiomyopathy. This should include the incorporation of CMR tissue tracking in the standard assessment for patients with DMD aged ≥7 years, implementing early cardiac monitoring and cardioprotective therapy, and enhancing clinicians’ technical training.
Introduction
Duchenne muscular dystrophy (DMD) is a disorder that affects the skeletal muscles and the heart, respiratory, and nervous systems. It is the most prevalent and a severe form of progressive muscular dystrophy. Epidemiological data indicate that approximately 1 in every 3,500 to 5,000 males globally is affected by DMD (1). The life expectancy for the majority of individuals with DMD is just 20–30 years, with cardiovascular complications being the leading cause of mortality (2). The assessment of myocardial injury is challenging due to the absence of validated cardiac imaging biomarkers. Furthermore, evaluating cardiac function according to the traditional New York Heart Association (NYHA) classification is problematic, as patients exhibit significantly reduced motor function, and the symptoms and signs of heart failure are often subtle (3). Effective methods for the early detection of cardiac dysfunction and myocardial injury in DMD are currently lacking. Echocardiography and cardiac magnetic resonance (CMR) are the primary imaging modalities recommended by clinical guidelines for the detection of cardiac complications. Although echocardiography is a simple, rapid, and widely used technique, it is susceptible to limitations related to the acoustic window and operator dependency. Moreover, patients with DMD frequently exhibit chest wall abnormalities and scoliosis, complicating echocardiographic diagnosis due to challenges related to acoustic windows and body positioning (4). CMR tissue tracking, also referred to as myocardial strain analysis, leverages existing cardiac cine sequences for advanced postprocessing beyond conventional cardiac function assessments, such as ejection fraction, thereby providing additional parameters for evaluating cardiac function. The myocardial strain assessed via tissue tracking technology encompasses three directions—longitudinal, radial, and circumferential—which correspond to the movement of the subendocardial, midmyocardial, and subepicardial layers, respectively. This technique allows for the simultaneous evaluation of both regional and global myocardial deformation, thereby facilitating the detection of subclinical cardiac dysfunction (5). In recent years, tissue tracking technology has been applied to both ischemic cardiomyopathy (6,7) and nonischemic cardiomyopathies, including hypertrophic cardiomyopathy (8), dilated cardiomyopathy (9), restrictive cardiomyopathy (10), right ventricular arrhythmogenic cardiomyopathy (11), and neuromuscular diseases (12). In the initial stages of research, CMR tissue tracking technology was applied to investigate myocardial strain in patients with DMD. In the study by Siegel et al., myocardial strain in the DMD group was significantly lower compared to that in the control group, and myocardial strain in patients with myocardial fibrosis was markedly lower than that in those without fibrosis (13). Myocardial fibrosis represents an advanced stage of disease progression, which is challenging to reverse once it has developed. Consequently, it is crucial to detect subclinical myocardial injury prior to the onset of myocardial fibrosis through the use of tissue tracking technology.
This study aimed to quantitatively assess myocardial strain in patients with DMD at an early stage of the disease through the application of CMR tissue tracking technology. Specifically, the objectives were to evaluate the subclinical cardiac dysfunction across different age groups of patients, the correlation between age and myocardial dysfunction, and to compare the differences in myocardial strain parameters between fibrotic and nonfibrotic patients. We present this article in accordance with the STROBE reporting checklist (available at https://cdt.amegroups.com/article/view/10.21037/cdt-2025-514/rc).
Methods
Study population
Between August 2018 and January 2020, a total of 110 cases of DMD were identified in the Pediatric Neurology Outpatient Department of West China Second University Hospital. All patients included in the study satisfied the diagnostic criteria established by the 2010 DMD Care Considerations Working Group (14). Children who met at least one of the following three criteria were initially selected: (I) abnormal muscle function in male children (DMD is an X-linked recessive genetic disorder, primarily affecting males), irrespective of family history; (II) significantly elevated serum creatine kinase levels, with other related diseases ruled out; and (III) elevated levels of transaminases, specifically aspartate transaminase and alanine transaminase. Confirmation of DMD was achieved through the detection of mutations or deletions in the DMD gene via blood cell genetic analysis. The exclusion criteria included the presence of other cardiovascular diseases (such as congenital heart disease or cardiomyopathy) (n=0), contraindications to CMR examination (n=0), and poor image quality (n=11). Ultimately, 99 patients were consecutively and prospectively included in the final analysis. The patients we recruited were aged 3 to 14 years old. For statistical considerations, they were divided into three age groups (3–6, 7–10, and 11–14 years) with a balanced sample size in each group. Based on left ventricular ejection fraction (LVEF), patients with DMD were classified into two groups: the LVEF-preserved group (LVEF ≥55%) and the LVEF-decreased group (LVEF <55%) (15). Furthermore, patients were divided into two groups based on the presence of delayed enhancement: the late gadolinium enhancement (LGE)-positive group and the LGE-negative group. A total of 69 healthy controls were recruited. For children unable to cooperate, chloral hydrate was administered after the children’s guardian provided consent to induce a sleep state for examination. The inclusion criteria for patients were as follows: male children aged 3–14 years, absence of cardiac symptoms, no history of heart disease or other chronic illnesses, and no congenital, hereditary, or acquired neuromuscular disorders. Meanwhile, the exclusion criteria for healthy controls were contraindications to CMR (n=0) and poor quality of CMR imaging (n=8). Ultimately, 61 controls were included.
This study was approved by the Chinese Ethics Committee of Registering Clinical Trials (ChiECRCT-20180107) and registered in the China Clinical Trial Registry (ChiCTR1800018340). This study was conducted in accordance with the Declaration of Helsinki and its subsequent amendments. The legal guardians of all the patients provided signed informed consent.
Biomarkers
Age, height, weight, body surface area, and body mass index were recorded. The results of electrocardiography and gene detection were recorded. Venous blood was collected from patients with DMD to obtain the levels of creatine kinase myocardial isoenzyme, creatine phosphokinase, troponin I, and myoglobin.
CMR imaging protocol
The patients with DMD and the controls were scanned with a 3.0-T MRI device (MAGNETOM Skyra, Siemens Healthineers, Erlangen, Germany). Participants with the following contraindications were also excluded: (I) ferromagnetic metal foreign bodies in the body; (II) claustrophobia, allergic constitution, or recent allergic diseases such as measles and allergic dermatitis; and (III) estimated glomerular filtration rate (eGFR) <30 mL/min/1.73 m2 (contraindication to gadolinium contrast agent). Patients and controls were given breathing training to facilitate the acquisition of images of good quality. Patients in a state of sleep were examined while they were breathing naturally. The head advanced scanning mode was adopted. The children were lying on the scan bed with an 18-channel body coil. The electrocardiogram electrode was connected, and the electrocardiogram-gated touch was used to send the acquisition signal. During the examination, an electrocardiogram and respiratory gating were used to observe participants’ condition. First, two-, three-, and four-chamber images of the heart were obtained via automatic scanning. Based on the image location, a balanced steady-state free precession sequence [repetition time (TR), 3.42 ms; echo time (TE), 1.48 ms; flip angle, 34°; slice thickness, 6 mm; field of view (FOV), 300×241 mm2; matrix size, 224×126] was used for cardiac cine imaging. The scanning range spanned the entirety of the left ventricle. A total of 11–12 short-axis and two- and four-chamber cardiac cine images were acquired simultaneously, with each layer containing 25 phases. Gadolinium-enhanced images were acquired in the same sections as the cine images 10 minutes after intravenous injection of 0.5 mmol/mL of gadopentetate dimeglumine (dose: 0.1 mL/kg body weight; flow rate: 1.0–2.0 mL/s; MultiHance, Bracco, Milan, Italy) with an inversion recovery true fast imaging with steady-state precession sequence (TR, 700 ms; TE, 1.31 ms; flip angle, 20°; FOV, 320×270 mm2; and slice thickness, 6 mm). None of the healthy controls underwent enhanced scanning.
Imaging analysis
The myocardial strain images were processed and analyzed with the cmr42 package on cvi42 software (Circle Cardiovascular Imaging, Calgary, AB, Canada). The procedure was as follows: the short-axis cine images were imported into the short-three-dimensional (3D) module. An experienced radiologist, who was blinded to all patient-specific information, manually delineated the endocardial and epicardial borders at both end-systole and end-diastole. The software then computed left ventricular functional parameters, including left ventricular end-systolic volume, left ventricular end-diastolic volume, LVEF, left ventricular mass, and other measurement parameters. Subsequently, the short-axis, four-chamber, and two-chamber cine sequences were imported into the tissue tracking module. The endocardium and epicardium at end-systole and end-diastole of the short axis were manually delineated layer by layer. Positioning points were placed at the insertion points of the interventricular septum for segmental positioning and voxel point calibration (Figure 1).
Subsequently, the end-diastolic epicardium and epicardium of both two- and four-chamber and heart views were delineated, with the positioning line extending from the mitral orifice to the apex. The global and regional myocardial strain parameters of the left ventricle were then assessed, encompassing the radial, circumferential, and longitudinal peak strains at the base, mid, and apical segments of the left ventricle (Figure 2). In this analysis, the end-diastolic myocardial voxel position served as the reference point, with peak displacement indicating the maximum percentage distance traversed by left ventricular myocardial pixels throughout the cardiac cycle and expressed as a percentage. Ventricular wall thickening was denoted as positive, while myocardial shortening was denoted as negative (16). Radial strain was considered to be a positive value, whereas circumferential and longitudinal strains were considered to be negative values. The presence of delayed enhancement was evaluated by one intermediate and one senior physician. In cases of disagreement, a third senior physician was consulted for confirmation.
Statistical analysis
SPSS version 25.0 (IBM Corp., Armonk, NY, USA) and RStudio version 1.3.959 (Posit PBC, Boston, MA, USA) were used for analysis. The Kolmogorov–Smirnov test was used to test whether the parameters followed a normal distribution. The data are expressed as the mean and standard deviation (SD) or as the median and interquartile range (IQR). The Levene test was used to test the homogeneity of variance. The t-test was used when the parameters of patients with DMD and volunteers conformed to a normal distribution and the variance was homogeneous. When the sample size was small or the data were not normally distributed, the Mann-Whitney test was applied. Pearson correlation coefficient is used to analyze the correlation between two sets of continuous variables. A two-sided P value <0.05 was considered statistically significant.
Results
Baseline data and cardiac function
After the inclusion and exclusion criteria were applied, 99 patients with DMD (8±2 years) and 61 healthy controls (8±3 years) were included (Table 1). There was no significant difference in age or body mass index between patients with DMD and the healthy controls, but the heart rate of patients with DMD was significantly higher than that of the control. Among the 99 patients with DMD, 84 (84.8%) had DMD gene fragment deletion, 11 (11.1%) had DMD gene repeat mutation, and 4 (4.1%) had to DMD gene point mutation. Moreover, 7 patients lost walking ability completely. All patients were treated with glucocorticoids. In terms of cardiac function, the DMD group had significantly reduced LVEF (58.73%±7.00% vs. 62.74%±4.48%, P=0.001) and strain parameters, including global radial (37.05%±10.14% vs. 40.37%±8.52%, P=0.02), circumferential (−20.30%±5.85% vs. −21.37%±3.56%, P=0.001), and longitudinal (−13.57%±2.81% vs. −14.86%±2.34%, P=0.01) strain compared to the control group (Figure 3); moreover, according to the segmental analysis of left ventricular strain, we found significantly reduced values for parameters of the left ventricular basal segment, including radial (46.93%±13.47% vs. 55.43%±13.13%, P=0.008) and circumferential (−16.18%±3.15% vs. −18.08%±1.96%, P=0.001) strain. Meanwhile, the DMD group, as compared to the control group, had significantly reduced strain parameters of the midsegment, including radial (35.37%±11.36% vs. 40.23%±10.93%, P=0.044), circumferential (−20.48%±3.89% vs. −22.08%±2.83%; P=0.003), and longitudinal (−12.39%±3.38% vs. −14.09%±2.83%, P=0.041) strain, as well as for the apex, including circumferential (−23.70%±5.85% vs. −25.37%±3.65%, P=0.008) and longitudinal (−16.61%±2.46% vs. −17.97%±2.05%, P=0.002) strain (Table 1).
Table 1
| Parameters | Healthy group (n=61) | DMD group (n=99) | P value |
|---|---|---|---|
| Age (years) | 8±3 | 8±2 | 0.40 |
| Male | 61 | 99 | – |
| Body mass index (kg/m2) | 17.92±5.15 | 17.77±3.83 | 0.22 |
| Heart rate (bpm) | 86±14 | 98±16* | 0.001 |
| Genetics | – | ||
| Missense/nonsense | – | 4 | |
| Duplication | – | 11 | |
| Deletion | – | 84 | |
| Myocardial enzyme | – | ||
| Creatine kinase increased | – | 99 | |
| Creatine kinase isoenzyme increased | – | 99 | |
| Myoglobin increased | – | 99 | |
| Cardiac troponin increased | – | 25 | |
| Wheelchair | – | 7 | – |
| Glucocorticoids | – | 99 | – |
| LV function | |||
| LV ejection fraction (%) | 62.74±4.48 | 58.73±7.00* | 0.001 |
| LV end-diastolic volume index (mL/m2) | 75.03±12.63 | 73.27±13.11 | 0.29 |
| LV end-systolic volume index (mL/m2) | 29.81±10.48 | 29.86±13.03 | 0.09 |
| LV stroke volume index (mL/m2) | 50.05±17.28 | 43.29±13.93* | 0.02 |
| LV mass index (g/m2) | 0.56±0.21 | 0.54±0.11 | 0.21 |
| RV function | |||
| RV ejection fraction (%) | 54.11±6.01 | 51.93±10.35 | 0.17 |
| RV end-diastolic volume index (mL/m2) | 73.37±15.34 | 62.32±13.74* | 0.001 |
| RV end-systolic volume index (mL/m2) | 34.62±8.58 | 30.61±7.72* | 0.001 |
| Global strain | |||
| Global radial peak strain (%) | 40.37±8.52 | 37.05±10.14* | 0.02 |
| Global circumferential peak strain (%) | −21.37±3.56 | −20.30±5.85* | 0.001 |
| Global longitudinal peak strain (%) | −14.86±2.34 | −13.57±2.81* | 0.01 |
| Segment strain | |||
| Basal radial peak strain (%) | 55.43±13.13 | 46.93±13.47* | 0.008 |
| Basal circumferential peak strain (%) | −18.08±1.96 | −16.18±3.15* | 0.001 |
| Basal longitudinal peak strain (%) | −11.38±4.31 | −12.14±4.08 | 0.49 |
| Middle radial peak strain (%) | 40.23±10.93 | 35.37±11.36* | 0.044 |
| Middle circumferential peak strain (%) | −22.08±2.83 | −20.48±3.89* | 0.003 |
| Middle longitudinal peak strain (%) | −14.09±2.83 | −12.39±3.38* | 0.041 |
| Apical radial peak strain (%) | 32.66±10.48 | 34.72±16.77 | 0.62 |
| Apical circumferential peak strain (%) | −25.37±3.65 | −23.70±5.85* | 0.008 |
| Apical longitudinal peak strain (%) | −17.97±2.05 | −16.61±2.46* | 0.002 |
Data are presented as mean ± SD or number. *, P<0.05. CMR, cardiac magnetic resonance; DMD, Duchenne muscular dystrophy; LV, left ventricular; RV, right ventricular; SD, standard deviation.
Comparison of left ventricular function and global and regional myocardial strain between different ages
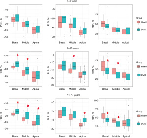
As shown in Table 2, there was no significant difference in age, body mass index, LVEF, left ventricular end-diastolic volume index, left ventricular mass index, left ventricular global, or regional strain between the 3- to 6-year-old patients with DMD (n=15) and healthy controls (n=21). Although there was no significant difference in age, BMI, left ventricular end-diastolic volume index, or left ventricular mass index between patients with DMD (n=63) and controls (n=18) at the age of 7–10 years, this age group of patents had significantly lower LVEF (59.58%±7.09% vs. 63.39%±5.27%, P=0.044) and left ventricular global radial (37.34%±9.78% vs. 42.95%±9.22%, P=0.03), circumferential (−20.75%±3.77% vs. −22.09%±2.46%, P=0.03), and longitudinal (−13.91%±2.81% vs. −15.69%±2.52%, P=0.04) strain; meanwhile, in terms of regional strain changes (Figure 4), this group had significantly lower parameters for the left ventricular basal segment, including radial (47.82%±13.63% vs. 60.08%±48.37%, P=0.045) and circumferential strain (−16.03%±2.78% vs. −18.31%±1.37%, P=0.004), as well as for the midventricular segment, including radial (36.24%±11.24% vs. 43.40%±11.63%, P=0.02), circumferential (−20.75%±3.37% vs. −22.65%±3.01%, P=0.03), and longitudinal (−12.48%±3.32% vs. −15.41%±2.77%; P=0.005) strain. There was no significant decrease in three components of the apical segment.
Table 2
| Parameters | 3–6 years | 7–10 years | 11–14 years | ||||||||
|---|---|---|---|---|---|---|---|---|---|---|---|
| Healthy group (n=21) | DMD group (n=15) | P value | Healthy group (n=18) | DMD group (n=63) | P value | Healthy group (n=22) | DMD group (n=21) | P value | |||
| Age (years) | 5±2 | 6±1 | 0.12 | 8±1 | 8±1 | 0.54 | 12±2 | 12±1 | 0.25 | ||
| Body mass index (kg/m2) | 16.45±4.87 | 16.29±1.39 | 0.06 | 18.66±7.54 | 17.13±3.38 | 0.43 | 18.71±1.95 | 21.34±4.80 | 0.13 | ||
| LV function | |||||||||||
| LV ejection fraction (%) | 62.72±4.46 | 59.60±5.05 | 63.39±5.27 | 59.58±7.09* | 0.044 | 62.22±3.93 | 59.61±9.27* | 0.02 | |||
| LV end-diastolic volume index (mL/m2) | 73.37±12.07 | 71.65±10.19 | 0.96 | 71.49±11.90 | 73.21±14.19 | 0.59 | 79.51±12.96 | 74.59±11.88 | 0.18 | ||
| LV end-systolic volume index (mL/m2) | 28.24±5.62 | 29.48±4.68 | 0.23 | 25.73±5.68 | 30.37±8.84 | 0.08 | 30.02±5.95 | 32.23±10.81 | 0.24 | ||
| LV stroke volume index (mL/m2) | 33.91±9.37 | 35.17±7.44 | 0.30 | 49.17±4.46 | 44.09±13.90* | 0.03 | 66.18±12.40 | 52.70±12.89* | 0.03 | ||
| LV mass index (g/m2) | 1.06±0.28 | 0.98±0.20 | 0.26 | 0.55±0.12 | 0.55±0.89 | 0.27 | 0.60±0.12 | 0.59±0.15 | 0.07 | ||
| Heart rate (bpm) | 92±13 | 98±10 | 0.30 | 88±15 | 99±17* | 0.03 | 80±13 | 93±16* | 0.04 | ||
| RV function | |||||||||||
| RV ejection fraction (%) | 53.03±4.88 | 49.28±9.71 | 0.21 | 56.15±6.31 | 52.95±11.54 | 0.07 | 53.48±6.56 | 50.78±6.12 | 0.28 | ||
| RV end-diastolic volume index (mL/m2) | 67.67±13.03 | 60.26±12.07 | 0.19 | 70.77±14.45 | 63.85±13.48 | 0.15 | 80.93±15.61 | 59.16±15.44* | 0.002 | ||
| RV end-systolic volume index (mL/m2) | 33.45±8.37 | 31.06±10.23 | 0.89 | 33.06±6.54 | 30.62±7.65 | >0.99 | 38.74±9.16 | 30.23±6.01* | 0.01 | ||
| Global strain | |||||||||||
| Global radial peak strain (%) | 36.63±6.98 | 36.58±9.02 | 0.87 | 42.95±9.22 | 37.34±9.78* | 0.03 | 41.82±8.38 | 36.48±10.22* | 0.02 | ||
| Global circumferential peak strain (%) | −20.87±2.70 | −20.28±3.61 | 0.92 | −22.09±2.46 | −20.75±3.77* | 0.03 | −21.97±2.37 | −19.49±4.13* | 0.045 | ||
| Global longitudinal peak strain (%) | −14.55±2.28 | −13.50±3.24 | 0.34 | −15.69±2.52 | −13.91±2.81* | 0.04 | −14.51±2.16 | −12.59±2.38* | 0.006 | ||
| Segment strain | |||||||||||
| Basal radial peak strain (%) | 51.21±10.51 | 47.50±16.30 | 0.91 | 60.08±48.37 | 47.82±13.63* | 0.045 | 55.64±12.17 | 43.84±10.71* | 0.02 | ||
| Basal circumferential peak strain (%) | −17.39±2.66 | −16.19±4.52 | 0.94 | −18.31±1.37 | −16.03±2.78* | 0.004 | −18.55±1.41 | −16.61±3.17* | 0.02 | ||
| Basal longitudinal peak strain (%) | −12.14±3.94 | −10.55±5.67 | 0.43 | −15.69±2.52 | −12.00±4.22 | 0.35 | −11.47±4.56 | −10.11±3.14 | 0.43 | ||
| Middle radial peak strain (%) | 35.24±8.54 | 35.74±9.82 | 0.58 | 43.40±11.63 | 36.24±11.24* | 0.02 | 42.43±11.13 | 32.46±12.71* | 0.040 | ||
| Middle circumferential peak strain (%) | −21.19±3.05 | −20.72±3.39 | 0.94 | −22.65±3.01 | −20.75±3.37* | 0.03 | −22.45±2.34 | −19.46±4.51* | 0.042 | ||
| Middle longitudinal peak strain (%) | −13.62±2.60 | −12.68±3.96 | 0.43 | −15.41±2.77 | −12.48±3.32* | 0.005 | −13.45±2.82 | −11.89±3.20 | 0.08 | ||
| Apical radial peak strain (%) | 30.04±9.01 | 31.78±11.31 | 0.56 | 32.92±9.97 | 33.66±15.42 | 0.34 | 34.93±11.98 | 40.02±22.61 | 0.40 | ||
| Apical circumferential peak strain (%) | −24.78±3.34 | −24.22±4.08 | 0.81 | −25.30±4.26 | −23.90±6.20 | 0.22 | −25.99±3.19 | −22.80±5.99* | 0.03 | ||
| Apical longitudinal peak strain (%) | −17.62±1.71 | −16.51±2.39 | 0.22 | −18.36±2.77 | −16.98±2.56 | 0.25 | −17.98±1.66 | −15.54±1.95* | 0.006 | ||
Data are presented as mean ± SD. *, compared to the healthy group of the same age P<0.05. CMR, cardiac magnetic resonance; DMD, Duchenne muscular dystrophy; LV, left ventricular; RV, right ventricular; SD, standard deviation.
Compared to healthy controls volunteers, patients with DMD at the age of 11–14 years had an even greater reduction in regional strain of the left ventricle than did those 7–10 years old: except for LVEF (59.61%±9.27% vs. 62.22%±3.93%, P=0.02), all parameters, including global radial (36.48%±10.22% vs. 41.82%±8.38%, P=0.02), circumferential (−19.49%±4.13% vs. −21.97%±2.37%, P=0.045), and longitudinal (−12.59%±2.38% vs. −14.51%±2.16%, P=0.006) strain were decreased. In terms of segments, there were significantly lower values for the radial (43.84%±10.71% vs. 55.64%±12.17%, P=0.02) and circumferential (−16.61%±3.17% vs. −18.55%±1.41%, P=0.02) strain at the left ventricular basal segment, the radial (32.46%±12.71% vs. 42.43%±11.13%, P=0.040) and circumferential (−19.46%±4.51% vs. −22.45%±2.34%, P=0.042) strain at the midventricular segment, and circumferential (−22.80%±5.99% vs. −25.99%±3.19%, P=0.03) and longitudinal (−15.54%±1.95% vs. −17.98%±1.66%, P=0.006) strain at the apical segment.
Global and regional myocardial strain in the control group, LVEF-preserved group, and LVEF-decreased group
Of the 99 patients, 22 (22%) had decreased LVEF, and 77 (78%) had preserved LVEF. Table 3 shows the comparison of left ventricular global and regional myocardial strain between the control group (mean age, 8±3 years), LVEF-preserved group (mean age, 8±2 years), and LVEF-decreased group (mean age, 9±2 years). There was no significant difference in cardiac function between the LVEF-preserved group and control group (61.37%±6.06% vs. 62.74%±4.48%, P=0.11), but the global and regional myocardial strain of the left ventricle did differ to an extent; moreover, as compared to the control group, the LVEF-preserved group had significantly lower global longitudinal strain of the left ventricle (−13.74%±2.83% vs. −14.86%±2.34%, P=0.03); regarding the left ventricular segments, the LVEF-preserved group had significantly reduced parameters of the left ventricular basal segment, including radial (49.42%±13.67% vs. 55.43%±13.13%, P=0.045) and circumferential (−16.50%±3.23% vs. −18.08%±1.96%, P=0.03) strain, in addition to lower longitudinal strain in midventricular (−12.41%±3.46% vs. −14.09%±2.83%, P=0.01) and apical (−16.96%±2.37% vs. −17.97%±2.05%, P=0.042) segments. For patients with decreased LVEF, the global and regional strain of the left ventricle were lower than those with preserved LVEF. The global strain for the three components in the LVEF-decreased group was significantly lower than that in the control group. Furthermore, the global radial strain in the LVEF decreased group was significantly lower than that in the preserved LVEF group. In segmental analysis, compared with the LVEF-preserved group, the LVEF-decreased group showed lower basal segment radial strain (38.20%±8.29% vs. 49.42%±13.67%, P=0.001) and circumferential strain (−15.06%±2.62% vs. −16.50%±3.23%, P=0.02), lower midventricular radial strain (27.15%±9.29% vs. 37.72%±10.83%, P=0.001), and lower apical segment longitudinal strain (−16.36%±2.46% vs. −16.96%±2.37%, P=0.047).
Table 3
| Parameters | Control group (group 1, n=61) | LVEF ≥55% DMD group (group 2, n=77) | LVEF <55% DMD group (group 3, n=22) | P value | ||
|---|---|---|---|---|---|---|
| Group 2 vs. group 1 | Group 3 vs. group 1 | Group 2 vs. group 3 | ||||
| Age (years) | 8±3 | 8±2 | 9±2*† | 0.06 | 0.045 | 0.02 |
| Body mass index (kg/m2) | 17.92±5.15 | 17.82±3.82 | 17.62±3.95 | 0.76 | 0.57 | 0.75 |
| LV function | ||||||
| LV ejection fraction (%) | 62.74±4.48 | 61.37±6.06 | 53.34±7.84*† | 0.11 | 0.001 | 0.001 |
| LV end-diastolic volume index (mL/m2) | 75.03±12.63 | 71.82±12.20 | 78.34±15.13 | 0.11 | 0.54 | 0.06 |
| LV end-systolic volume index (mL/m2) | 29.81±10.48 | 26.73±7.82 | 40.80±20.25*† | 0.40 | 0.001 | 0.001 |
| LV stroke volume index (mL/m2) | 50.05±17.28 | 42.84±13.49 | 44.91±15.60 | 0.55 | 0.57 | 0.55 |
| LV mass index (g/m2) | 0.56±0.21 | 0.58±0.14 | 0.53±0.14 | 0.31 | 0.65 | 0.22 |
| Heart rate (bpm) | 86±14 | 98±17* | 96±16* | 0.004 | 0.04 | 0.15 |
| RV function | ||||||
| RV ejection fraction (%) | 54.11±6.01 | 53.49±10.13 | 46.49±9.45* | 0.53 | 0.002 | 0.07 |
| RV end-diastolic volume index (mL/m2) | 73.37±15.34 | 63.11±13.40 | 59.51±14.88* | 0.10 | 0.001 | 0.07 |
| RV end-systolic volume index (mL/m2) | 34.62±8.58 | 29.76±7.22* | 33.57±8.83 | 0.04 | 0.57 | 0.10 |
| Global strain | ||||||
| Global radial peak strain (%) | 40.37±8.52 | 39.01±9.63 | 30.20±9.00*† | 0.52 | 0.001 | 0.001 |
| Global circumferential peak strain (%) | −25.37±3.56 | −20.76±3.05 | −17.83±3.74* | 0.58 | 0.001 | 0.08 |
| Global longitudinal peak strain (%) | −14.86±2.34 | −13.74±2.83* | −12.97±2.75* | 0.03 | 0.01 | 0.38 |
| Segment strain | ||||||
| Basal radial peak strain (%) | 55.43±13.13 | 49.42±13.67* | 38.20±8.29*† | 0.045 | 0.001 | 0.001 |
| Basal circumferential peak strain (%) | −18.08±1.96 | −16.50±3.23* | −15.06±2.62*† | 0.03 | 0.001 | 0.02 |
| Basal longitudinal peak strain (%) | −11.38±4.31 | −11.44±4.42 | −11.16±3.97 | 0.89 | 0.19 | 0.65 |
| Middle radial peak strain (%) | 40.23±10.93 | 37.72±10.83 | 27.15±9.29*† | 0.33 | 0.002 | 0.001 |
| Middle circumferential peak strain (%) | −22.08±2.83 | −21.19±3.41 | −17.97±4.47* | 0.52 | 0.001 | 0.07 |
| Middle longitudinal peak strain (%) | −14.09±2.83 | −12.41±3.46* | −12.32±3.14* | 0.01 | 0.04 | 0.90 |
| Apical radial peak strain (%) | 32.66±10.48 | 35.47±15.36 | 32.13±21.18 | 0.63 | 0.055 | 0.22 |
| Apical circumferential peak strain (%) | −25.37±3.65 | −24.77±4.29 | −19.95±8.64* | 0.67 | 0.001 | 0.08 |
| Apical longitudinal peak strain (%) | −17.97±2.05 | −16.96±2.37* | −16.36±2.46*† | 0.042 | 0.02 | 0.047 |
Data are presented as mean ± SD. *, compared to healthy volunteers P<0.05; †, compared to patients with LVEF ≥55. Bonferroni correction was applied. CMR, cardiac magnetic resonance; DMD, Duchenne muscular dystrophy; LV, left ventricular; LVEF, left ventricular ejection fraction; RV, right ventricular; SD, standard deviation.
The difference in myocardial strain between the LGE-positive and LGE-negative groups among patients with DMD
As shown in Table 4, 51 of 99 (52%) patients were classified as LGE positive according to magnetic resonance delayed enhancement image. The average age of the LGE-positive patients was 9±2 years old, and that of the LGE-negative patients was 7±2 years old, representing a significant difference in age (P<0.05). However, there was found no significant difference in age between LGE-negative patients and healthy controls. LGE-negative patients had lower global and regional myocardial strain than did the healthy controls but did not show decreased cardiac function (60.89%±6.42% vs. 62.74%±4.48%, P=0.21); moreover, compared to healthy controls, LGE-negative patients had significantly lower global longitudinal (−13.64%±3.01% vs. −14.86%±2.34%, P=0.02), radial (48.52%±13.05% vs. 55.43%±13.13%, P=0.007), and circumferential (−16.24%±3.42% vs. −18.08%±1.96%, P=0.001) strain of the left ventricular basal segment, as well as longitudinal strain of the midventricular (−12.43%±3.54% vs. −14.09%±2.83%, P=0.006) and apical (−16.62%±2.57% vs. −17.97%±2.05%, P=0.045) segments. Meanwhile, the LVEF of the LGE-positive patients was significantly lower than that of healthy controls (58.19%±7.92% vs. 62.74%±4.48%, P=0.001) and LGE-negative patients (58.19%±7.92% vs. 60.89%±6.42%, P=0.001). In terms of myocardial strain, LGE-positive patients had a greater number of segments with reduced myocardial strain as compared with controls. However, there was no significant difference in global or regional strain between LGE-negative and LGE-positive patients.
Table 4
| Parameters | Control group (group 1, n=61) | LGE-negative DMD group (group 2, n=51) | LGE-positive DMD group (group 3, n=48) | P value | ||
|---|---|---|---|---|---|---|
| Group 2 vs. group 1 | Group 3 vs. group 1 | Group 2 vs. group 3 | ||||
| Age (years) | 8±3 | 7±2 | 9±2* | 0.056 | 0.047 | 0.06 |
| Body mass index (kg/m2) | 17.92±5.15 | 16.46±2.66 | 19.15±4.38† | 0.53 | 0.30 | 0.043 |
| LV function | ||||||
| LV ejection fraction (%) | 62.74±4.48 | 60.89±6.42 | 58.19±7.92*† | 0.21 | 0.001 | 0.001 |
| LV end-diastolic volume index (mL/m2) | 75.03±12.63 | 72.19±11.54 | 74.42±14.63 | 0.49 | 0.72 | 0.18 |
| LV end-systolic volume index (mL/m2) | 29.81±10.48 | 29.77±6.36 | 26.93±5.77 | 0.47 | 0.09 | 0.09 |
| LV stroke volume index (mL/m2) | 50.05±17.28 | 41.47±15.38 | 45.24±12.05 | 0.98 | 0.79 | 0.43 |
| LV mass index (g/m2) | 0.56±0.21 | 0.53±0.11 | 0.57±0.11 | 0.12 | 0.64 | 0.39 |
| Heart rate (bpm) | 86±14 | 96±15* | 99±18* | 0.003 | 0.001 | 0.37 |
| RV function | ||||||
| RV ejection fraction (%) | 54.11±6.01 | 53.07±12.01 | 50.72±8.21 | 0.25 | 0.10 | 0.09 |
| RV end-diastolic volume index (mL/m2) | 73.37±15.34 | 62.74±13.24* | 61.86±14.37* | 0.002 | 0.004 | 0.67 |
| RV end-systolic volume index (mL/m2) | 34.62±8.58 | 30.48±8.76* | 30.75±6.54* | 0.04 | 0.045 | 0.39 |
| Global strain | ||||||
| Global radial peak strain (%) | 40.37±8.52 | 37.23±10.43 | 36.86±9.93 | 0.38 | 0.67 | 0.42 |
| Global circumferential peak strain (%) | −25.37±3.56 | −20.33±3.10 | −19.88±3.75* | 0.06 | 0.001 | 0.46 |
| Global longitudinal peak strain (%) | −14.86±2.34 | −13.64±3.01* | −13.49±2.62* | 0.02 | 0.006 | 0.76 |
| Segment strain | ||||||
| Basal radial peak strain (%) | 55.43±13.13 | 48.52±13.05* | 45.24±13.85* | 0.007 | 0.001 | 0.054 |
| Basal circumferential peak strain (%) | −18.08±1.96 | −16.24±3.42* | −16.13±2.88* | 0.001 | 0.001 | 0.50 |
| Basal longitudinal peak strain (%) | −11.38±4.31 | −11.42±4.67 | −11.34±3.93 | 0.53 | 0.85 | 0.29 |
| Middle radial peak strain (%) | 40.23±10.93 | 36.17±11.22 | 34.52±11.56* | 0.057 | 0.005 | 0.25 |
| Middle circumferential peak strain (%) | −22.08±2.83 | −20.81±3.39 | −20.18±4.36* | 0.30 | 0.005 | 0.40 |
| Middle longitudinal peak strain (%) | −14.09±2.83 | −12.43±3.54* | −12.34±3.23* | 0.006 | 0.001 | 0.82 |
| Apical radial peak strain (%) | 32.66±10.48 | 32.65±16.14 | 36.93±17.30 | 0.20 | 0.59 | 0.18 |
| Apical circumferential peak strain (%) | −25.37±3.65 | −24.16±4.00 | −23.22±7.35 | 0.22 | 0.07 | 0.60 |
| Apical longitudinal peak strain (%) | −17.97±2.05 | −16.62±2.57* | −16.59±2.37* | 0.045 | 0.003 | 0.50 |
Data are presented as mean ± SD. *, compared to healthy volunteers P<0.05; †, compared to LGE-negative patients. Bonferroni correction was applied. CMR, cardiac magnetic resonance; DMD, Duchenne muscular dystrophy; LGE, late gadolinium enhancement; LV, left ventricular; RV, right ventricular; SD, standard deviation.
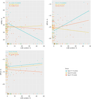
Correlation between LGE content and global strain
Figure 5 is a chart of the correlation between LGE content and global strain among the three components. We can observe that for the 11 to 14-year-old group, LGE content was strongly correlated with global peak radial strain (GPRS) (r=−0.69; P=0.001) and global peak circumferential strain (GPCS) (r=0.71; P<0.001). As LGE content increased, GPRS and GPCS in these patients decreased. Meanwhile, global peak longitudinal strain (GPLS) was not significantly correlated with LGE content.
Discussion
In patients with DMD, gene mutations result in the reduced synthesis of dystrophin, decreased stability of the dystrophin glycoprotein complex junction structure, increased fragility of cardiomyocyte myomembranes, significantly elevated intracellular calcium levels, damage to the myofiber membrane, and degeneration of myofibers (17), ultimately leading to myocardial systolic dysfunction. Our findings regarding myocardial systolic dysfunction are as follows: (I) in children with DMD aged 1–6 years, there was no observed decrease in myocardial strain. However, in patients aged 7–10 and 11–14 years, both global and regional myocardial strain of the left ventricle exhibit varying degrees of reduction, with a progression in decrease from the basal epicardial to the apical regions and endocardial regions. (II) We also conducted an analysis of the global and regional myocardial strain in patients with both preserved and decreased LVEF. The results showed that the global and regional myocardial strain in patients with preserved LVEF was significantly lower than that in healthy controls. (III) There was no significant difference in LVEF between LGE-negative patients and controls; however, the radial and circumferential strain at the base of the left ventricle, as well as the global longitudinal strain at the midventricular segment and apex, were significantly lower than those in controls. (IV) In the 11- to 14-year-old group, GPRS and GPCS decreased with age.
Research has demonstrated that as DMD progresses, extensive myocardial cell necrosis occurs, along with myocardial fat infiltration and fibrosis replacement, which contribute to cardiac remodeling and dysfunction (18). This progression often culminates in late-stage heart failure, accompanied by life-threatening arrhythmias, ultimately resulting in cardiac death (19,20). The DMD Care Considerations Working Group has explicitly recommended proactive treatment for patients exhibiting reduced cardiac function or myocardial fibrosis. The guidelines further emphasize that interventions initiated only after clear evidence of myocardial injury are insufficient (3,21). Consequently, there is a pressing need for methods that can effectively detect myocardial injury early in pediatric patients. As early as 2005, researchers employed 1.5-T magnetic resonance tagging technology to conduct cardiac imaging in a cohort of 13 patients with DMB, with an average age of 10.6±3.01 years.
For clinical applications, myocardial strain is more sensitive than ejection fraction in diagnosing mild systolic dysfunction (22). One study found that, although the left ventricular volume and ejection fraction in patients with DMD were within normal ranges compared to the control group, there was a significant reduction in the overall circumferential strain of the ventricular base and middle layer (23). Batra et al. also reported a decline in circumferential strain in dystrophic myocardium, underscoring the importance of conducting early and longitudinal cardiac function assessments in patients with DMD to identify early biomarkers of cardiac dysfunction, which could inform the design of clinical trials aimed at mitigating cardiac pathology (24). Consequently, it has been recognized that myocardial damage occurs much earlier than can be detected. However, the exact time of onset in patients remains unclear. Building on this aforementioned research, we conducted a stratified analysis based on different age groups of children in a relatively large cohort. Our findings indicated that children with DMD aged 3–6 years did not exhibit significant cardiac dysfunction. In contrast, those aged 7–10 and 11–14 years exhibited varying degrees of reduction in global and regional left ventricular strain. This discovery could enhance clinicians’ ability to diagnose myocardial damage in patients with DMD over the age of 7 years. This study significantly contributes to enhancing the diagnostic acumen of clinicians as it pertains to myocardial damage in patients with DMD over the age of 7 years. Our findings further offer a nuanced understanding of myocardial damage across various pediatric age groups and can inform future expert consensus guidelines.
We further found that myocardial dysfunction in the basal segment of the left ventricle among children aged 7–10 years is predominantly characterized by impaired radial and circumferential motion, suggesting subepicardial and intermediate myocardial injury in this area. This is consistent with our fourth principle finding: GPRS and GPCS decreased incrementally with LGE content. This observation aligns with the myocardial fibrosis patterns identified through LGE imaging (25). In patients aged 11–14 years, there is a marked decline in myocardial strain in both the basal and middle segments, accompanied by a reduction in longitudinal strain at the apex. This suggests a progression of myocardial dysfunction from the basal epicardium toward the apical and endocardial regions. Consistent with the findings of Lang et al. (26), who reported severe cardiac dysfunction (LVEF <55%) in approximately 18% of patients with DMD, our study found that 22 out of 99 patients (22%) exhibited an LVEF below 55%. However, even among patients without overt cardiac dysfunction, myocardial strain abnormalities were evident.
Hor et al. and Liu et al. demonstrated that the myocardial strain in patients with DMD who exhibit normal LVEF and who are negative for LGE is significantly lower than that in healthy individuals (27,28). Our findings corroborated this finding. Overall, these results underscore the limitations of relying solely on traditional indices, such as LVEF <55% and positive LGE, to assess cardiac damage in patients with DMD. CMR tissue tracking serves as a valuable adjunct to LVEF and LGE, facilitating the quantitative assessment of cardiac dysfunction and providing a robust foundation for early clinical intervention.
Certain limitations of our study should be addressed. First, a few of the subgroups in this study had small sample sizes, and prospective sample size estimation was not performed for subgroup analyses. Based on the calculations using G*Power software, the core parameters for the two-sample t-test (a=0.05 and 1−β=0.8; allocation ratio of 1:1) corresponded to a standardized effect size d ranging from 0.55 to 1.0, with each group having a sample size falling within the interval of 15 to 50 cases. This limitation may reduce statistical power, hinder the accurate detection of potential intergroup differences in subgroups, and thus restrict the extrapolation validity of the findings to the corresponding subgroup populations. Second, marked overlap was observed in strain measurements between healthy individuals and patients with DMD. Moreover, age-specific normal reference ranges for strain measurements were not established. This not only reduces the diagnostic value of this indicator for differentiating the two groups but also fails to provide a standardized healthy baseline for disease assessment of patients with DMD across different age groups. Further research with larger sample sizes is therefore warranted. Third, the differences between observers in CMR myocardial strain measurement were significant; this is a pervasive issue, but we attempted to maintain uniformity in the devices and analysis software to minimize the measurement gap as much as possible. Recent studies have used deep learning techniques for fully automated measurement of global longitudinal strain, which may help improve the efficiency, accuracy, and repeatability of strain measurement (29). The strain values measured by magnetic resonance imaging with field strengths of 1.5- and 3.0-T are highly similar, and there is no clinically significant overestimation or underestimation. Moreover, due to the higher signal-to-noise ratio of 3.0-T images, the intragroup correlation coefficient of their measurement results is often higher than that of 3.0 T, which may provide better reproducibility.
Conclusions
Among patients with DMD, myocardial dysfunction predominantly manifests in children older than 7 years, demonstrating progression and exacerbation with advancing age. The myocardial injury typically progresses from the basal epicardium toward the apical and endocardial regions. CMR tissue tracking can provide an assessment of cardiac dysfunction in patients with DMD at an earlier period compared to conventional measures such as LVEF and LGE.
Acknowledgments
None.
Footnote
Reporting Checklist: The authors have completed the STROBE reporting checklist. Available at https://cdt.amegroups.com/article/view/10.21037/cdt-2025-514/rc
Data Sharing Statement: Available at https://cdt.amegroups.com/article/view/10.21037/cdt-2025-514/dss
Peer Review File: Available at https://cdt.amegroups.com/article/view/10.21037/cdt-2025-514/prf
Funding: This work was supported by
Conflicts of Interest: All authors have completed the ICMJE uniform disclosure form (available at https://cdt.amegroups.com/article/view/10.21037/cdt-2025-514/coif). The authors have no conflicts of interest to declare.
Ethical Statement: The authors are accountable for all aspects of the work in ensuring that questions related to the accuracy or integrity of any part of the work are appropriately investigated and resolved. This study was conducted in accordance with the Declaration of Helsinki and its subsequent amendments. This study was approved by Chinese Ethics Committee of Registering Clinical Trials (ChiECRCT-20180107) and registered in the China Clinical Trial Registry (ChiCTR1800018340). The legal guardians of all the patients provided signed informed consent.
Open Access Statement: This is an Open Access article distributed in accordance with the Creative Commons Attribution-NonCommercial-NoDerivs 4.0 International License (CC BY-NC-ND 4.0), which permits the non-commercial replication and distribution of the article with the strict proviso that no changes or edits are made and the original work is properly cited (including links to both the formal publication through the relevant DOI and the license). See: https://creativecommons.org/licenses/by-nc-nd/4.0/.
References
- Kamdar F, Garry DJ. Dystrophin-Deficient Cardiomyopathy. J Am Coll Cardiol 2016;67:2533-46. [Crossref] [PubMed]
- Birnkrant DJ, Bushby K, Bann CM, et al. Diagnosis and management of Duchenne muscular dystrophy, part 1: diagnosis, and neuromuscular, rehabilitation, endocrine, and gastrointestinal and nutritional management. Lancet Neurol 2018;17:251-67. [Crossref] [PubMed]
- McNally EM, Kaltman JR, Benson DW, et al. Contemporary cardiac issues in Duchenne muscular dystrophy. Working Group of the National Heart, Lung, and Blood Institute in collaboration with Parent Project Muscular Dystrophy. Circulation 2015;131:1590-8. [Crossref] [PubMed]
- Markham LW, Kinnett K, Wong BL, et al. Corticosteroid treatment retards development of ventricular dysfunction in Duchenne muscular dystrophy. Neuromuscul Disord 2008;18:365-70. [Crossref] [PubMed]
- Claus P, Omar AMS, Pedrizzetti G, et al. Tissue Tracking Technology for Assessing Cardiac Mechanics: Principles, Normal Values, and Clinical Applications. JACC Cardiovasc Imaging 2015;8:1444-60. [Crossref] [PubMed]
- Schneeweis C, Qiu J, Schnackenburg B, et al. Value of additional strain analysis with feature tracking in dobutamine stress cardiovascular magnetic resonance for detecting coronary artery disease. J Cardiovasc Magn Reson 2014;16:72. [Crossref] [PubMed]
- Brown J, Jenkins C, Marwick TH. Use of myocardial strain to assess global left ventricular function: a comparison with cardiac magnetic resonance and 3-dimensional echocardiography. Am Heart J 2009;157:102.e1-5. [Crossref] [PubMed]
- Xu HY, Chen J, Yang ZG, et al. Early marker of regional left ventricular deformation in patients with hypertrophic cardiomyopathy evaluated by MRI tissue tracking: The effects of myocardial hypertrophy and fibrosis. J Magn Reson Imaging 2017;46:1368-76. [Crossref] [PubMed]
- Buss SJ, Breuninger K, Lehrke S, et al. Assessment of myocardial deformation with cardiac magnetic resonance strain imaging improves risk stratification in patients with dilated cardiomyopathy. Eur Heart J Cardiovasc Imaging 2015;16:307-15. [Crossref] [PubMed]
- Dorbala S, Vangala D, Bruyere J Jr, et al. Coronary microvascular dysfunction is related to abnormalities in myocardial structure and function in cardiac amyloidosis. JACC Heart Fail 2014;2:358-67. [Crossref] [PubMed]
- Heermann P, Hedderich DM, Paul M, et al. Biventricular myocardial strain analysis in patients with arrhythmogenic right ventricular cardiomyopathy (ARVC) using cardiovascular magnetic resonance feature tracking. J Cardiovasc Magn Reson 2014;16:75. [Crossref] [PubMed]
- Azzu A, Antonopoulos AS, Krupickova S, et al. Myocardial strain analysis by cardiac magnetic resonance 3D feature-tracking identifies subclinical abnormalities in patients with neuromuscular disease and no overt cardiac involvement. Eur Heart J Cardiovasc Imaging 2023;24:503-11. [Crossref] [PubMed]
- Siegel B, Olivieri L, Gordish-Dressman H, et al. Myocardial Strain Using Cardiac MR Feature Tracking and Speckle Tracking Echocardiography in Duchenne Muscular Dystrophy Patients. Pediatr Cardiol 2018;39:478-83. [Crossref] [PubMed]
- Bushby K, Finkel R, Birnkrant DJ, et al. Diagnosis and management of Duchenne muscular dystrophy, part 1: diagnosis, and pharmacological and psychosocial management. Lancet Neurol 2010;9:77-93. [Crossref] [PubMed]
- Hor KN, Taylor MD, Al-Khalidi HR, et al. Prevalence and distribution of late gadolinium enhancement in a large population of patients with Duchenne muscular dystrophy: effect of age and left ventricular systolic function. J Cardiovasc Magn Reson 2013;15:107. [Crossref] [PubMed]
- Amaki M, Savino J, Ain DL, et al. Diagnostic concordance of echocardiography and cardiac magnetic resonance-based tissue tracking for differentiating constrictive pericarditis from restrictive cardiomyopathy. Circ Cardiovasc Imaging 2014;7:819-27. [Crossref] [PubMed]
- Deconinck N, Dan B. Pathophysiology of duchenne muscular dystrophy: current hypotheses. Pediatr Neurol 2007;36:1-7. [Crossref] [PubMed]
- Starnes JR, Weiner JG, George-Durrett K, et al. Boys With Duchenne Muscular Dystrophy Have Diastolic Dysfunction Based on CMR. Circ Cardiovasc Imaging 2024;17:e017287. [Crossref] [PubMed]
- Chenard AA, Becane HM, Tertrain F, et al. Ventricular arrhythmia in Duchenne muscular dystrophy: prevalence, significance and prognosis. Neuromuscul Disord 1993;3:201-6. [Crossref] [PubMed]
- James KA, Gralla J, Ridall LA, et al. Left ventricular dysfunction in Duchenne muscular dystrophy. Cardiol Young 2020;30:171-6. [Crossref] [PubMed]
- Duboc D, Meune C, Lerebours G, et al. Effect of perindopril on the onset and progression of left ventricular dysfunction in Duchenne muscular dystrophy. J Am Coll Cardiol 2005;45:855-7. [Crossref] [PubMed]
- Smiseth OA, Rider O, Cvijic M, et al. Myocardial Strain Imaging: Theory, Current Practice, and the Future. JACC Cardiovasc Imaging 2025;18:340-81. [Crossref] [PubMed]
- Ashford MW Jr, Liu W, Lin SJ, et al. Occult cardiac contractile dysfunction in dystrophin-deficient children revealed by cardiac magnetic resonance strain imaging. Circulation 2005;112:2462-7. [Crossref] [PubMed]
- Batra A, Barnard AM, Lott DJ, et al. Longitudinal changes in cardiac function in Duchenne muscular dystrophy population as measured by magnetic resonance imaging. BMC Cardiovasc Disord 2022;22:260. [Crossref] [PubMed]
- Xu R, Xu H, Liu H, et al. The prevalence and natural progress of myocardial fibrosis in Duchenne muscular dystrophy patients. Eur Heart J 2020;41:ehaa946.0214.
- Lang SM, Shugh S, Mazur W, et al. Myocardial Fibrosis and Left Ventricular Dysfunction in Duchenne Muscular Dystrophy Carriers Using Cardiac Magnetic Resonance Imaging. Pediatr Cardiol 2015;36:1495-501. [Crossref] [PubMed]
- Hor KN, Wansapura J, Markham LW, et al. Circumferential strain analysis identifies strata of cardiomyopathy in Duchenne muscular dystrophy: a cardiac magnetic resonance tagging study. J Am Coll Cardiol 2009;53:1204-10. [Crossref] [PubMed]
- Liu ZQ, Maforo NG, Magrath P, et al. MRI-Based Circumferential Strain in Boys with Early Duchenne Muscular Dystrophy Cardiomyopathy. Diagnostics (Basel) 2024;14:2673. [Crossref] [PubMed]
- Gröschel J, Kuhnt J, Viezzer D, et al. Comparison of manual and artificial intelligence based quantification of myocardial strain by feature tracking-a cardiovascular MR study in health and disease. Eur Radiol 2024;34:1003-15. [Crossref] [PubMed]
(English Language Editor: J. Gray)

